Jump to content
Notice to Members: Logging into VisaJourney will soon require using your email address vs. screen name. Please ensure your email address is valid or contact admin@visajourney if you need help.

2,975 posts in this topic

Recommended Posts

Posted

I am just wondering if there's anyone who has already started to plan for their wedding? What may be a safe timeline for a wedding ceremony?

Since I really have no idea about how long the whole process is going to take.

Let's say November filers may get NOA2 around end of May or June (without RFE), then get K1 Visa by end of Aug/ Sep? (I am not sure about the timeline on this.)

After get married in US, how long does it usually take to get the temporary green card so that the beneficiary could enter and leave US without much limitation?

 

As my fiance and I will have the wedding ceremony in China, so it is important to have an idea about the overall timeline and it really needs some time to plan and book everything for wedding stuff (usually 1 year or 1 year and a half in advance in China).

 

Anyone could provide some suggestions on it?

Thanks in advance!

I751:

Mailed: 3th May 2021

Delivered: 5th May 2021

Rejected due to missing signature: 26th May 2021

 

Resend: 26th May 2021

Delivered: 28th May 2021

 

Filed: K-1 Visa Country: Vietnam
Timeline
Posted
1 hour ago, allisonf said:

I am just wondering if there's anyone who has already started to plan for their wedding? What may be a safe timeline for a wedding ceremony?

Since I really have no idea about how long the whole process is going to take.

Let's say November filers may get NOA2 around end of May or June (without RFE), then get K1 Visa by end of Aug/ Sep? (I am not sure about the timeline on this.)

After get married in US, how long does it usually take to get the temporary green card so that the beneficiary could enter and leave US without much limitation?

 

As my fiance and I will have the wedding ceremony in China, so it is important to have an idea about the overall timeline and it really needs some time to plan and book everything for wedding stuff (usually 1 year or 1 year and a half in advance in China).

 

Anyone could provide some suggestions on it?

Thanks in advance!

I've seen to many horror stories in previous month's forums about planning a wedding and then having to cancel so we are waiting until we know for sure. We are just doing the justice of the peace wedding to satisfy the requirements then after she is here, we are going to plan the actual wedding.  

Posted
4 hours ago, allisonf said:

I am just wondering if there's anyone who has already started to plan for their wedding? What may be a safe timeline for a wedding ceremony?

Since I really have no idea about how long the whole process is going to take.

Let's say November filers may get NOA2 around end of May or June (without RFE), then get K1 Visa by end of Aug/ Sep? (I am not sure about the timeline on this.)

After get married in US, how long does it usually take to get the temporary green card so that the beneficiary could enter and leave US without much limitation?

 

As my fiance and I will have the wedding ceremony in China, so it is important to have an idea about the overall timeline and it really needs some time to plan and book everything for wedding stuff (usually 1 year or 1 year and a half in advance in China).

 

Anyone could provide some suggestions on it?

Thanks in advance!

You will have a second wedding ceremony in China?

Filed: Lift. Cond. (pnd) Country: Japan
Timeline
Posted
8 minutes ago, Cathphil said:

i think we will be approve by around end of april.but hoping they can finish september and october by march 🤣since september are just fewer filers comparing to other month filers

Wishful thinking is strong with this one 😁

Filed: Lift. Cond. (pnd) Country: Japan
Timeline
Posted
30 minutes ago, conarroest said:

It's looking like mid/late May, early June, right @Naes

Let's see what will happen with September ;) 

 

theyre going stroger than before...

 

so September in march, October march to April, November April to may is also a possibility... 

 

11 minutes ago, Cathphil said:

daydreaming 😆😆

I still like daydreaming 😁

Filed: Citizen (apr) Country: Spain
Timeline
Posted

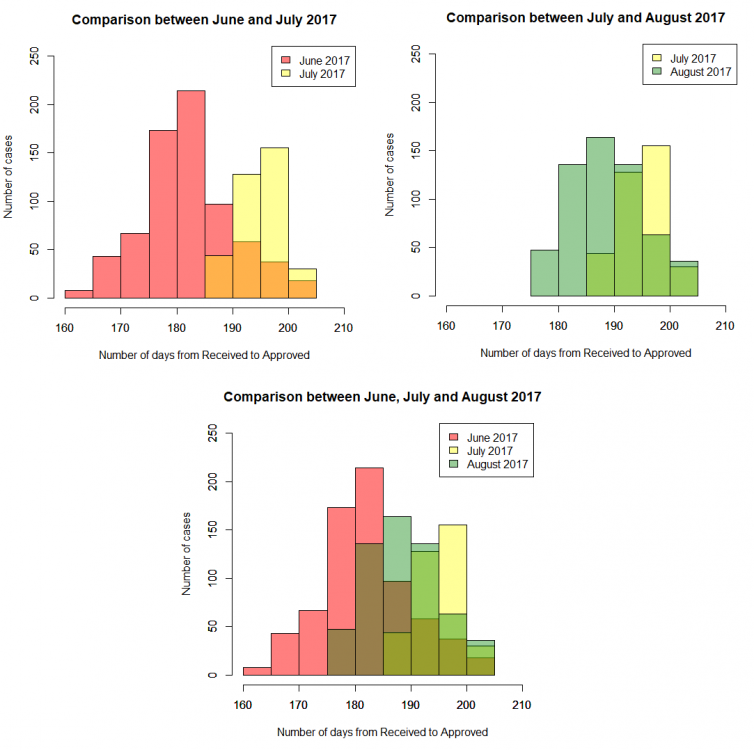
Update of the graphs comparing June and July regarding the length of time from Received to Approved one month later (as to 02/22/2018), this time including August under the same conditions.

 

As a reminder, in the graphs below I try to compare what happened within the next 177 days after that last day of June, July and August 29th (last day with approvals) received cases.

 

In that time, with a total of 715, 357 and 582 approved cases (after removing some outliers) respectively:

 

  • June had a global mean of 182.49 days from Received to Approval date, with a standard deviation of 7.89 days.
  • July had a global mean of 195.03 days from Received to Approval date, with a standard deviation of 3.89 days.
  • August had a global mean of 189.33 days from Received to Approval date, with a standard deviation of 6.47 days.

 

As you guys can see, July (starting approvals at 185+ days) was significantly worse than June (160+ days), but in August (175+ days), we can clearly see the turning point for average processing times finally starting to go down again. This is looking much better than in previous months!

 

Please, note that ONLY updated approved cases were considered, and that the purpose of this graphs is just merely informative, not predictive.

 

 

5a90659ec947f_ComparisonJuneJulyandAugust(02-22).thumb.png.669c59abdb6e71ec31f4351407926d51.png

Filed: Lift. Cond. (pnd) Country: Japan
Timeline
Posted

This week in numbers;

 

This week August came as far as Received date 29th of August.

However, 2 days of this week was RFE only dates, so there were no Approval updates.

As we confirmed before too, these dates (and even dates where we saw updates online) usually means most approvals were/going to be mail only.

 

August is going stronger than any other month so far, giving me some hope that things will only get better (even if it is not by too much or too fast) from here on.

However always keep in mind, things can change so fast, and anything can happen during this process.

NVC backlog was a mystery for us and it happened suddenly, yet ended up eating 2 months of those approvals.

And things such as AP or anything on the way can also cause a backlog.

 

My advice is not make firm/unchangeable wedding plans.

 

On another note,  I saw about 10 withdrawals in the month of September during the past week.

The same movement happened one week before August started.

My guess is they are first updating those that will not get adjudication due to being withdrawn...

So September next week??

I personally can't wait!

 

Overall Movement:

 

     June     July     Aug.    Total
02/20/18 17 39 31 87
02/21/18 72 85 186 343
02/22/18 37 66 135 238
02/23/18 21 56 54 131
Total 147 246 406 799

 

Approvals only

- dates don't appear here means possible mail only approvals. Please check your informed delivery and mailboxes timely-

 

 

     June     July     Aug.    Total
02/21/18 25 62 86 173
02/22/18 8 29 101 138
Total 33 91 187 311

 

 

----------------Monthly Updates

 

Overall Numbers:

(December has validation errors so the given numbers are less than actual petitions)

 

              Virgins          Touched        Approved                Total
         
June 983 999 1665 3647
July 1423 848 1126 3397
Aug 2529 504 618 3651
Sept 3155 130 8 3293
Oct 3770 128   3898
Nov 3304 67 1 3372
Dec 3297 28   3325
Total 18461 2704 3418 24583

 

 

Overall look into months:

 

image.png.86054c2b1aa86474aae48f55613be640.png

 

Filed: K-1 Visa Country: United Kingdom
Timeline
Posted

I don't know where or how you get this info, but thank you. It was just a relief that my case number was there and at least i could tell my fiance something. Thank you again for posting that. It really does help to see things moving along, even if my case hasn't been touched yet. I'm glad other people are getting approved it gives me some hope. 

Posted
On ‎2‎/‎21‎/‎2018 at 8:15 PM, allisonf said:

I am just wondering if there's anyone who has already started to plan for their wedding? What may be a safe timeline for a wedding ceremony?

Since I really have no idea about how long the whole process is going to take.

Let's say November filers may get NOA2 around end of May or June (without RFE), then get K1 Visa by end of Aug/ Sep? (I am not sure about the timeline on this.)

After get married in US, how long does it usually take to get the temporary green card so that the beneficiary could enter and leave US without much limitation?

 

As my fiance and I will have the wedding ceremony in China, so it is important to have an idea about the overall timeline and it really needs some time to plan and book everything for wedding stuff (usually 1 year or 1 year and a half in advance in China).

 

Anyone could provide some suggestions on it?

Thanks in advance!

I have begun planning the wedding. Initially, I only planned to soft plan, but quickly realized that there is no such thing. After attending a bridal expo, I prayed to be lead to a date that made sense and that felt comfortable/realistic. There is sentiment to the date chosen as well. I've explained the situation to each vendor and have a statement in the contract addressing the possibility to postpone due to unforeseen circumstances, without penalty. I am praying that the process works with the date of choicel. I anticipated a little extra time and took that into consideration.

 

May 22 2017 - Met in person 

  • Nov 01 2017  -  Mailed I-129F
  • Nov 02 2017  -  Case received
  • Nov 06 2017  -  NOA1 (Case submitted)
  • May 17 2018  -  NOA2 (192 days from NOA1) - no RFE
  • June 7 2018  -  NVC Received 
  • June 8 2018  -  NVC Case Number Received
  • June 12 2018 - Case sent to Embassy
  • June 13 2018  -  Consulate Received (In "Ready" Status)
  • N/A 2018  -  Packet 3 Received
  • N/A 2018  -  Packet 3 Sent
  • June 14 2018  -  Packet 4 Received (email)
  • June 18 2018  -  Medical
  • July 9 2018  -  Interview: Eventually APPROVED (August 14, 2018)
  • August 22 2018  -  Visa In Hand
  • August 25 2018  -  POE ( days)
  •  2018  -  Applied for SSN
  • Sept 14 2018 - Wedding
Filed: K-1 Visa Country: Philippines
Timeline
Posted
On 2/25/2018 at 6:52 PM, Naes said:

This week in numbers;

 

This week August came as far as Received date 29th of August.nto months:

 

image.png.86054c2b1aa86474aae48f55613be640.png

 

Hello there! Just to clarify, when you said the quoted line above, do you mean to say they are already processing August 29 received date/NOA1?

 
Didn't find the answer you were looking for? Ask our VJ Immigration Lawyers.
Guest
This topic is now closed to further replies.
- Back to Top -

Important Disclaimer: Please read carefully the Visajourney.com Terms of Service. If you do not agree to the Terms of Service you should not access or view any page (including this page) on VisaJourney.com. Answers and comments provided on Visajourney.com Forums are general information, and are not intended to substitute for informed professional medical, psychiatric, psychological, tax, legal, investment, accounting, or other professional advice. Visajourney.com does not endorse, and expressly disclaims liability for any product, manufacturer, distributor, service or service provider mentioned or any opinion expressed in answers or comments. VisaJourney.com does not condone immigration fraud in any way, shape or manner. VisaJourney.com recommends that if any member or user knows directly of someone involved in fraudulent or illegal activity, that they report such activity directly to the Department of Homeland Security, Immigration and Customs Enforcement. You can contact ICE via email at Immigration.Reply@dhs.gov or you can telephone ICE at 1-866-347-2423. All reported threads/posts containing reference to immigration fraud or illegal activities will be removed from this board. If you feel that you have found inappropriate content, please let us know by contacting us here with a url link to that content. Thank you.
×
×
  • Create New...