Jump to content

217 posts in this topic

Recommended Posts

  • 3 weeks later...
Posted (edited)
On 8/20/2020 at 2:10 AM, Orangesapples said:

I don't think this matters at all for a spousal visa. It must be an error. 

Is your had got the visa or not? 

Plz I wait to your answer 

Same thing happened with me before one week

Is your husband had got the visa or not? 

Edited by HUZIFA
Posted
8 hours ago, HUZIFA said:

Is your had got the visa or not? 

Plz I wait to your answer 

Same thing happened with me before one week

Is your husband had got the visa or not? 

This clause has nothing to do with spouse visa me and one more applicant were refused under and we got NOIR, we submitted the required documents to uscis and are waiting for the decision for our cases, Normally persons with 2nd marriage with some insufficient documents get this type of refusal 

Filed: IR-1/CR-1 Visa Country: Tunisia
Timeline
Posted
On 4/25/2021 at 10:39 PM, Khalid Mahmud said:

Congratulations! and well said every case is different from each other! Have a wonderful time with your love!

Thank you, wishing you your good news soon!

Filed: IR-1/CR-1 Visa Country: Tunisia
Timeline
Posted
On 5/11/2021 at 10:09 PM, Khalid Mahmud said:

This clause has nothing to do with spouse visa me and one more applicant were refused under and we got NOIR, we submitted the required documents to uscis and are waiting for the decision for our cases, Normally persons with 2nd marriage with some insufficient documents get this type of refusal 

I really believe now it has to do with bonafide marriage 

  • 4 weeks later...
Posted
1 hour ago, HUZIFA said:

 

The embassy should have sent you an email stating the reasons of refusal along with letter,  if now they sent back your case to nvc/uscis they will return all your original documents along with passport and later uscis will send a NOIR or NOID depending upon your case in which they will give you a chance to prove your position regarding the questions that would be asked by uscis 

Posted
11 minutes ago, HUZIFA said:

What happened to you are you got the visa see my letter above, I received from embassy 

My case was sent back to Uscis and they issued me NOIR and I gave submitted the documents against objections raised by them and now waiting for their reply,  but in your letter they are saying that you are not qualified for visa whereas in my they just said that my case is being returned to uscis 

Posted
23 minutes ago, Khalid Mahmud said:

My case was sent back to Uscis and they issued me NOIR and I gave submitted the documents against objections raised by them and now waiting for their reply,  but in your letter they are saying that you are not qualified for visa whereas in my they just said that my case is being returned to uscis 

Yeah what means not qualified for visa

At interview I got administration process

Filed: K-1 Visa Country: Wales
Timeline
Posted

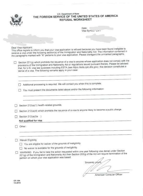
The letter says - not qualified for visa.

“If you know the enemy and know yourself, you need not fear the result of a hundred battles. If you know yourself but not the enemy, for every victory gained you will also suffer a defeat. If you know neither the enemy nor yourself, you will succumb in every battle.”

Posted
On 4/1/2021 at 9:38 AM, Stephanie&Sofiane said:

Hello, I recently had notifications from this discussion, we haven’t been on in awhile. We were reaffirmed, he had his second interview in January, approved and arrived in the USA in February! We were never requested to give anything further to the USCIS or the Embassy. We did not have to provide anything more to show a bona fide marriage. The  focus of the second interview was mainly my job and my finances and our joint sponsorship. It was very simple for us and we are thankful. However, we’ve learned that each case is a little different in what is being requested after the further review. I can’t really advise on anything because it could be totally different for you or someone else. What I can say is waiting and checking in periodically seems to be best method. Rest assured there will be updates when that information is available. I still highly recommend consulting with an attorney also when a case becomes more complex.
Good luck with your case, we wish you and everyone best! 

 

2 minutes ago, Khalid Mahmud said:

That you have to ask from embassy on what reasons they sent you this refusal letter 

OK last time I'm asked them they said my file with counsl we will cantact you should be wait, now my case still updating on ceac what this means 

 
Didn't find the answer you were looking for? Ask our VJ Immigration Lawyers.

Create an account or sign in to comment

You need to be a member in order to leave a comment

Create an account

Sign up for a new account in our community. It's easy!

Register a new account

Sign in

Already have an account? Sign in here.

Sign In Now
- Back to Top -

Important Disclaimer: Please read carefully the Visajourney.com Terms of Service. If you do not agree to the Terms of Service you should not access or view any page (including this page) on VisaJourney.com. Answers and comments provided on Visajourney.com Forums are general information, and are not intended to substitute for informed professional medical, psychiatric, psychological, tax, legal, investment, accounting, or other professional advice. Visajourney.com does not endorse, and expressly disclaims liability for any product, manufacturer, distributor, service or service provider mentioned or any opinion expressed in answers or comments. VisaJourney.com does not condone immigration fraud in any way, shape or manner. VisaJourney.com recommends that if any member or user knows directly of someone involved in fraudulent or illegal activity, that they report such activity directly to the Department of Homeland Security, Immigration and Customs Enforcement. You can contact ICE via email at Immigration.Reply@dhs.gov or you can telephone ICE at 1-866-347-2423. All reported threads/posts containing reference to immigration fraud or illegal activities will be removed from this board. If you feel that you have found inappropriate content, please let us know by contacting us here with a url link to that content. Thank you.
×
×
  • Create New...