Jump to content

JaMerican_2019

Members
  • Posts

    222
  • Joined

  • Last visited

Profile Information

  • Gender
    Female
  • State
    New York

Immigration Info

  • Country
    Jamaica

JaMerican_2019's Achievements

Recent Profile Visitors

4,030 profile views
  1. I am a USC and filed for my father. He is currently overseas and has never been to the U.S. I assume I would be his qualifying relative as his daughter. Based on the instructions below it does not seem like a qualifying relative is needed in this case.
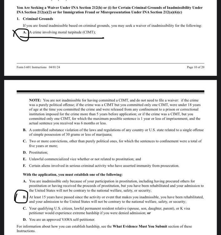
  2. Hi Everyone, My dad was recently denied his immigrant visa due to crime of moral turpitude. He committed bigamy in 2006 and received a suspended sentence. His record has since been expunged and his police record is clear. The consular officer in Jamaica provided him papers and it says to file a i601 waiver. Does anyone have experience on this? I have been doing a lot of research and this was committed over 18 years ago and he has never had any issues prior or since. I don’t believe I have extreme hardship so I’m confused on that part. Is that needed for this specific case? I understand I may need to contact a lawyer.
×
×
  • Create New...