Jump to content

2 posts in this topic

Recommended Posts

Filed: F-2A Visa Country: Bangladesh
Timeline
Posted

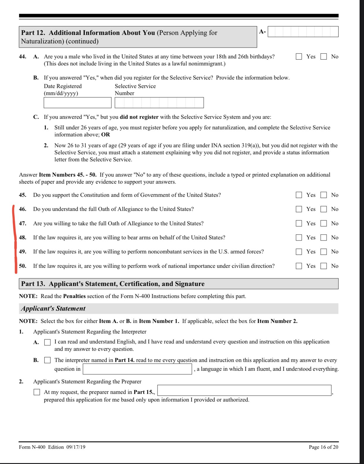
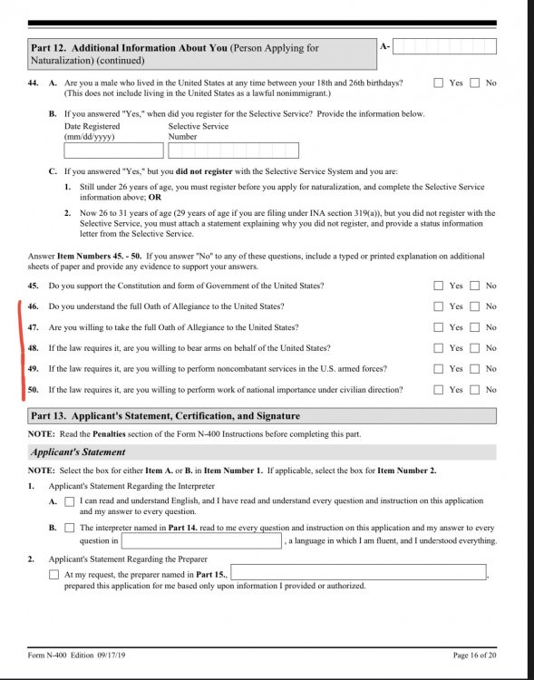
Hello everyone, i am filing n-400 for my mother. She got her medical certificate N-648 described her inability to learn English and civics. Now I have some confusion regarding some questions.

What should I select for questions 46-50. Yes or No? What would be the correct answers for those questions as she is submitting disability waiver with Application. Your experienced answers would be a great help.

1FE4A4E5-EB37-4159-85AB-9AFF617B9BBC.jpeg

1545A9CD-EFDA-4DC0-8A98-A766B5F741AE.jpeg

 
Didn't find the answer you were looking for? Ask our VJ Immigration Lawyers.

Create an account or sign in to comment

You need to be a member in order to leave a comment

Create an account

Sign up for a new account in our community. It's easy!

Register a new account

Sign in

Already have an account? Sign in here.

Sign In Now
- Back to Top -

Important Disclaimer: Please read carefully the Visajourney.com Terms of Service. If you do not agree to the Terms of Service you should not access or view any page (including this page) on VisaJourney.com. Answers and comments provided on Visajourney.com Forums are general information, and are not intended to substitute for informed professional medical, psychiatric, psychological, tax, legal, investment, accounting, or other professional advice. Visajourney.com does not endorse, and expressly disclaims liability for any product, manufacturer, distributor, service or service provider mentioned or any opinion expressed in answers or comments. VisaJourney.com does not condone immigration fraud in any way, shape or manner. VisaJourney.com recommends that if any member or user knows directly of someone involved in fraudulent or illegal activity, that they report such activity directly to the Department of Homeland Security, Immigration and Customs Enforcement. You can contact ICE via email at Immigration.Reply@dhs.gov or you can telephone ICE at 1-866-347-2423. All reported threads/posts containing reference to immigration fraud or illegal activities will be removed from this board. If you feel that you have found inappropriate content, please let us know by contacting us here with a url link to that content. Thank you.
×
×
  • Create New...